티스토리 뷰
외래 키는 두 테이블 간의 관계에서 다른 테이블의 기본 키 필드에 연결된 필드이다.
관계형 데이터베이스 관리 시스템에서 관계는 둘 이상의 테이블 간의 관계를 정의한다. 즉, 한 테이블의 데이터는 다른 테이블의 데이터와 관련이 있다. 한 테이블에는 기본 키가 있고 다른 테이블에는 외래 키가 있다.
테이블 간의 관계를 설정할 때 외래 키를 기본 키와 연결한다. 이 시점부터 외래 키 필드의 값은 다른 테이블의 기본 키 필드 값과 일치해야 한다.

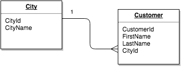
위의 예에서 Customer 테이블의 CityId 필드는 외래 키이다. 기본 키인 City 테이블의 CityId 필드에 연결된다. 주어진 레코드에 대해 Customer.CityId 값은 City.CityId 값과 일치한다.
따라서 외래 키는 관계형 데이터베이스 시스템의 필수 부분이다. 외래 키가 없으면 한 테이블의 데이터를 다른 테이블의 데이터와 일치시킬 수 없다. 적어도 결과가 정확하다는 확신을 가지고 일치시킬 수는 없다. 이는 기본 필드의 값이 고유 식별자이기 때문이다.
따라서 외래 키 필드의 값은 다른 테이블의 레코드에 대한 고유 식별자이다. 따라서 외래 키 값이 해당 단일 레코드만 참조한다는 것을 알 수 있다.
'데이터베이스 > SQL' 카테고리의 다른 글
| [SQL] Table, Cell, Row, Column, Record, Filed (0) | 2021.01.28 |
|---|---|
| [SQL] Database (0) | 2021.01.28 |
| [SQL] PK(Primary Key) 기본 키 (0) | 2021.01.28 |
| [SQL] 디자인의 3가지 관계 유형 (0) | 2021.01.27 |
| [SQL] MySQL 엔진, 데이터베이스, 테이블 용량 확인 (0) | 2021.01.26 |
댓글
공지사항
최근에 올라온 글
최근에 달린 댓글
링크
TAG
- 이직
- 제주도 3박4일 일정
- Java
- React
- 소프트웨어공학
- 리액트 16
- 정렬 알고리즘
- 회고
- Linux 명령어
- SQL
- spring
- 리액트
- effective java
- 제주도 여행
- 자바스크립트
- 자바
- 오라클
- 오라클 내장 함수
- Maven
- Eclipse
- 성능분석
- 개발환경
- javascript
- Tomcat
- 리눅스 명령어
- 프로그래머스
- Collection
- 프로그래머
- sort algorithm
- 경력관리
| 일 | 월 | 화 | 수 | 목 | 금 | 토 |
|---|---|---|---|---|---|---|
| 1 | 2 | |||||
| 3 | 4 | 5 | 6 | 7 | 8 | 9 |
| 10 | 11 | 12 | 13 | 14 | 15 | 16 |
| 17 | 18 | 19 | 20 | 21 | 22 | 23 |
| 24 | 25 | 26 | 27 | 28 | 29 | 30 |
| 31 |
글 보관함